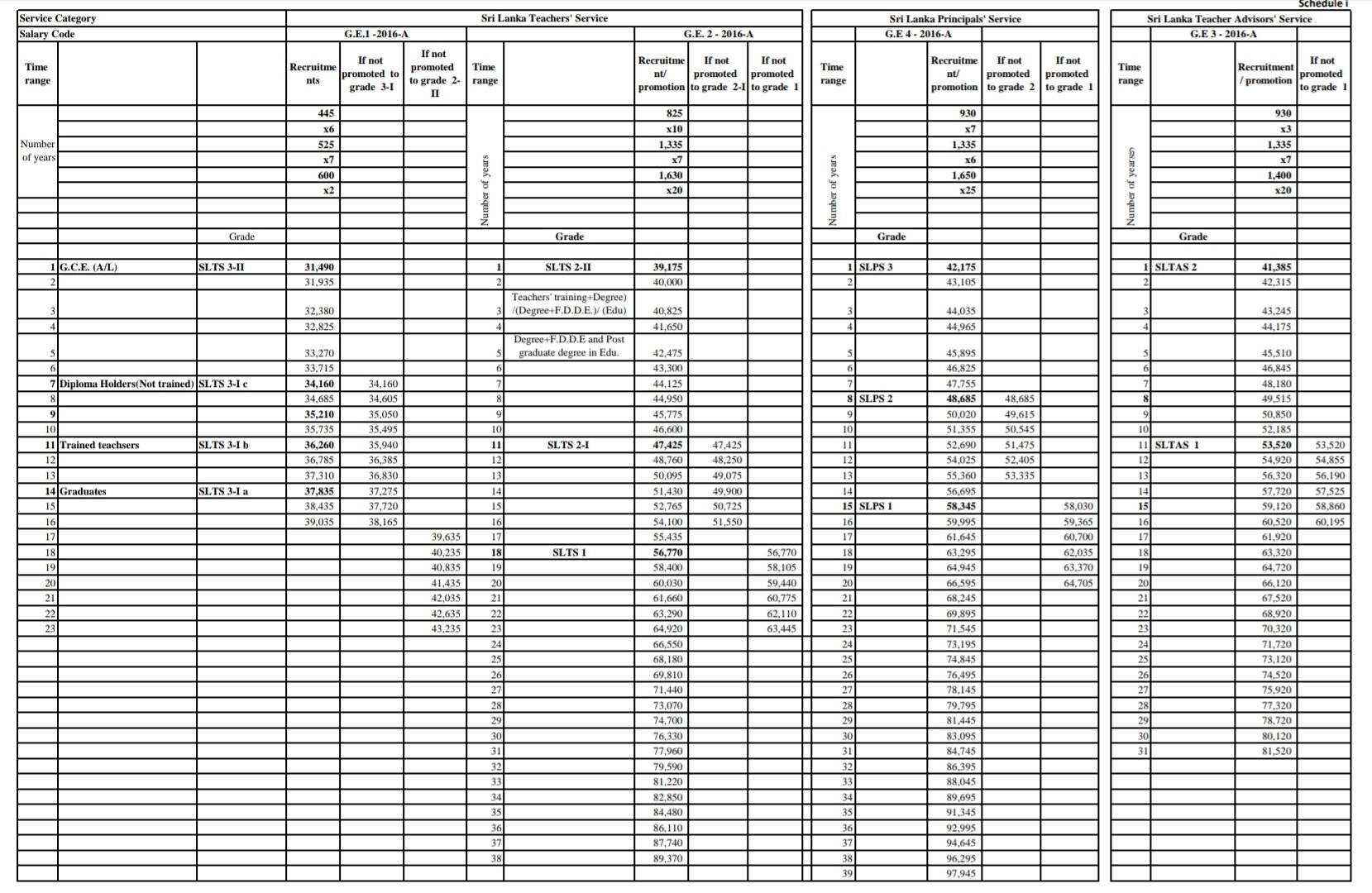
Teachers and Principals salary structure circular issued
The circular with regard to Teachers and Principals salary structure, issued. During the 2022 Budget Proposals, government allocated an additional Rs. 30,000 million to rectify the salary anomalies of teachers & principals.
The trade union action which was launched by several teachers – principals union continued for the 100 consecutive days. Due to the strike, online teaching and academic activities in most of schools were badly hampered.
